2144: 2019 CSP J4 加工零件
Description
凯凯的工厂正在有条不紊地生产一种神奇的零件,神奇的零件的生产过程自然也很神奇。工厂里有 nn 位工人,工人们从 1 \sim n1∼n 编号。某些工人之间存在双向的零件传送带。保证每两名工人之间最多只存在一条传送带。
如果 xx 号工人想生产一个被加工到第 L (L \gt 1)L(L>1) 阶段的零件,则所有与 xx 号工人有传送带直接相连的工人,都需要生产一个被加工到第 L - 1L−1 阶段的零件(但 xx 号工人自己无需生产第 L - 1L−1 阶段的零件)。
如果 xx 号工人想生产一个被加工到第 1 阶段的零件,则所有与 xx 号工人有传送带直接相连的工人,都需要为 xx 号工人提供一个原材料。
轩轩是 1 号工人。现在给出 qq 张工单,第 ii 张工单表示编号为 a_iai 的工人想生产一个第 L_iLi 阶段的零件。轩轩想知道对于每张工单,他是否需要给别人提供原材料。他知道聪明的你一定可以帮他计算出来!
Input
第一行三个正整数 nn,mm 和 qq,分别表示工人的数目、传送带的数目和工单的数目。
接下来 mm 行,每行两个正整数 uu 和 vv,表示编号为 uu 和 vv 的工人之间存在一条零件传输带。保证 u \neq vu=v。
接下来 qq 行,每行两个正整数 aa 和 LL,表示编号为 aa 的工人想生产一个第 LL 阶段的零件。
Output
Sample Input Copy
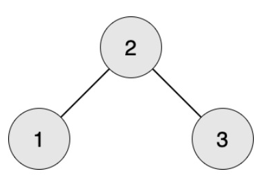
3 2 6
1 2
2 3
1 1
2 1
3 1
1 2
2 2
3 2
Sample Output Copy
No
Yes
No
Yes
No
Yes
HINT
5 5 5 1 2 2 3 3 4 4 5 1 5 1 1 1 2 1 3 1 4 1 5
输出 #2
No Yes No Yes Yes【输入输出样例 1 说明】

编号为 1 的工人想生产第 1 阶段的零件,需要编号为 2 的工人提供原材料。
编号为 2 的工人想生产第 1 阶段的零件,需要编号为 1 和 3 的工人提供原材料。
编号为 3 的工人想生产第 1 阶段的零件,需要编号为 2 的工人提供原材料。
编号为 1 的工人想生产第 2 阶段的零件,需要编号为 2 的工人生产第 1 阶段的零 件,需要编号为 1 和 3 的工人提供原材料。
编号为 2 的工人想生产第 2 阶段的零件,需要编号为 1 和 3 的工人生产第 1 阶段的零件,他/她们都需要编号为 2 的工人提供原材料。
编号为 3 的工人想生产第 2 阶段的零件,需要编号为 2 的工人生产第 1 阶段的零件,需要编号为 1 和 3 的工人提供原材料。
【输入输出样例 2 说明】

编号为 1 的工人想生产第 1 阶段的零件,需要编号为 2 和 5 的工人提供原材料。
编号为 1 的工人想生产第 2 阶段的零件,需要编号为 2 和 5 的工人生产第 1 阶段的零件,需要编号为 1,3,41,3,4 的工人提供原材料。
编号为 1 的工人想生产第 3 阶段的零件,需要编号为 2 和 5 的工人生产第 2 阶段的零件,需要编号为 1,3,41,3,4 的工人生产第 1 阶段的零件,需要编号为 2,3,4,52,3,4,5 的工人提供原材料。
编号为 1 的工人想生产第 4 阶段的零件,需要编号为 2 和 5 的工人生产第 3 阶段的零件,需要编号为 1,3,41,3,4 的工人生产第 2 阶段的零件,需要编号为 2,3,4,52,3,4,5 的工人生产第 1 阶段的零件,需要全部工人提供原材料。
编号为 1 的工人想生产第 5 阶段的零件,需要编号为 2 和 5 的工人生产第 4 阶段的零件,需要编号为 1,3,41,3,4 的工人生产第 3 阶段的零件,需要编号为 2,3,4,52,3,4,5 的工人生产第 2 阶段的零件,需要全部工人生产第 1 阶段的零件,需要全部工人提供原材料。
